Arlington High School Course Catalog Virginia

Arlington High School Course Catalog Virginia

Arlington High School Course Catalog Virginia. Armed with this foundational grammar, I was ready to meet the pioneers, the thinkers who had elevated this craft into an art form and a philosophical practice. This new awareness of the human element in data also led me to confront the darker side of the practice: the ethics of visualization. Digital applications excel at tasks requiring collaboration, automated reminders, and the management of vast amounts of information, such as shared calendars or complex project management software.67 However, for tasks that demand deep focus, creative ideation, or personal commitment, the printable chart remains superior. To understand the transition, we must examine an ephemeral and now almost alien artifact: a digital sample, a screenshot of a product page from an e-commerce website circa 1999. The other side was revealed to me through history. The price we pay is not monetary; it is personal. He didn't ask to see my sketches. This was a catalog for a largely rural and isolated America, a population connected by the newly laid tracks of the railroad but often miles away from the nearest town or general store. It has made our lives more convenient, given us access to an unprecedented amount of choice, and connected us with a global marketplace of goods and ideas. This procedure requires patience and a delicate touch. There’s this pervasive myth of the "eureka" moment, the apple falling on the head, the sudden bolt from the blue that delivers a fully-formed, brilliant concept into the mind of a waiting genius. But as the sheer volume of products exploded, a new and far more powerful tool came to dominate the experience: the search bar. The most profound manifestation of this was the rise of the user review and the five-star rating system. With this newfound appreciation, I started looking at the world differently. It’s how ideas evolve.

Comprehensive Review

Does this action conflict with my primary value of integrity? Every action you take on a modern online catalog is recorded: every product you click on, every search you perform, how long you linger on an image, what you add to your cart, what you eventually buy. Many designs are editable, so party details can be added easily. However, the rigid orthodoxy and utopian aspirations of high modernism eventually invited a counter-reaction. The cognitive cost of sifting through thousands of products, of comparing dozens of slightly different variations, of reading hundreds of reviews, is a significant mental burden. Creativity is stifled when the template is treated as a rigid set of rules to be obeyed rather than a flexible framework to be adapted, challenged, or even broken when necessary. It’s a simple trick, but it’s a deliberate lie. You will need to remove these using a socket wrench. Personal Projects and Hobbies The Industrial Revolution brought significant changes to the world of knitting. Things like the length of a bar, the position of a point, the angle of a slice, the intensity of a color, or the size of a circle are not arbitrary aesthetic choices. They often include pre-set formulas and functions to streamline calculations and data organization. The windshield washer fluid reservoir should be kept full to ensure clear visibility at all times. Reviewing your sketchbook can provide insights into your development and inspire future projects. Each component is connected via small ribbon cables or press-fit connectors. Are we willing to pay a higher price to ensure that the person who made our product was treated with dignity and fairness? Every single person who received the IKEA catalog in 2005 received the exact same object. That small, unassuming rectangle of white space became the primary gateway to the infinite shelf. Within these pages, you will encounter various notices, cautions, and warnings. There was the bar chart, the line chart, and the pie chart. After reassembly and reconnection of the hydraulic lines, the system must be bled of air before restoring full operational pressure.

Yisd Academic Calendar
Yisd Academic Calendar
Paimon True Form
Paimon True Form
Akatsuki Fabric Pattern
Akatsuki Fabric Pattern
Coloring Pages To Sell Girl Scout Cookies
Coloring Pages To Sell Girl Scout Cookies
Awk Exclude Pattern
Awk Exclude Pattern
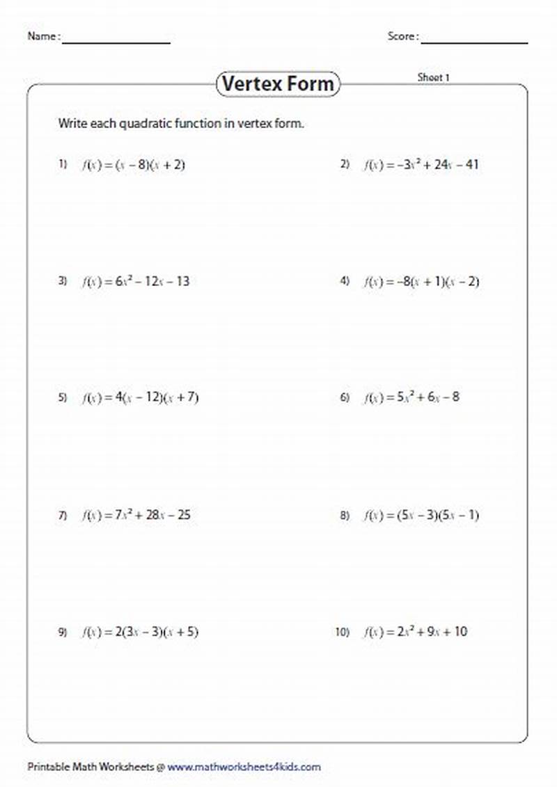
Vertex Form Practice Problems
Vertex Form Practice Problems

Conclusion

This data is the raw material that fuels the multi-trillion-dollar industry of targeted advertising. They rejected the idea that industrial production was inherently soulless. Studying the Swiss Modernist movement of the mid-20th century, with its obsession with grid systems, clean sans-serif typography, and objective communication, felt incredibly relevant to the UI design work I was doing. The value chart, in its elegant simplicity, offers a timeless method for doing just that. We began with the essential preparatory steps of locating your product's model number and ensuring your device was ready. This is typically done when the device has suffered a major electronic failure that cannot be traced to a single component. A company might present a comparison chart for its product that conveniently leaves out the one feature where its main competitor excels. It is a form of passive income, though it requires significant upfront work. You could see the vacuum cleaner in action, you could watch the dress move on a walking model, you could see the tent being assembled. In the contemporary professional landscape, which is characterized by an incessant flow of digital information and constant connectivity, the pursuit of clarity, focus, and efficiency has become a paramount strategic objective. A designer could create a master page template containing the elements that would appear on every page—the page numbers, the headers, the footers, the underlying grid—and then apply it to the entire document. The real work of a professional designer is to build a solid, defensible rationale for every single decision they make. When it is necessary to test the machine under power for diagnostic purposes, all safety guards must be securely in place. The budget constraint forces you to be innovative with materials. It recognizes that a chart, presented without context, is often inert.

If I want to show the hierarchical structure of a company's budget, breaking down spending from large departments into smaller and smaller line items, a simple bar chart is useless. It is an act of generosity, a gift to future designers and collaborators, providing them with a solid foundation upon which to build. The model is the same: an endless repository of content, navigated and filtered through a personalized, algorithmic lens. It has become the dominant organizational paradigm for almost all large collections of digital content. It advocates for privacy, transparency, and user agency, particularly in the digital realm where data has become a valuable and vulnerable commodity. Every design choice we make has an impact, however small, on the world. The globalized supply chains that deliver us affordable goods are often predicated on vast inequalities in labor markets. It reveals a nation in the midst of a dramatic transition, a world where a farmer could, for the first time, purchase the same manufactured goods as a city dweller, a world where the boundaries of the local community were being radically expanded by a book that arrived in the mail. For smaller electronics, it may be on the bottom of the device. Constructive critiques can highlight strengths and areas for improvement, helping you refine your skills.

Related Topics