Ca Dmv Trailer Title Transfer Form

Ca Dmv Trailer Title Transfer Form

Ca Dmv Trailer Title Transfer Form. It wasn't until a particularly chaotic group project in my second year that the first crack appeared in this naive worldview. That leap is largely credited to a Scottish political economist and engineer named William Playfair, a fascinating and somewhat roguish character of the late 18th century Enlightenment. This means you have to learn how to judge your own ideas with a critical eye. The world untroubled by human hands is governed by the principles of evolution and physics, a system of emergent complexity that is functional and often beautiful, but without intent. The soaring ceilings of a cathedral are designed to inspire awe and draw the eye heavenward, communicating a sense of the divine. This type of sample represents the catalog as an act of cultural curation. The wages of the farmer, the logger, the factory worker, the person who packs the final product into a box. Intrinsic load is the inherent difficulty of the information itself; a chart cannot change the complexity of the data, but it can present it in a digestible way.79Extraneous load is the unproductive mental effort wasted on deciphering a poor design; this is where chart junk becomes a major problem, as a cluttered and confusing chart imposes a high extraneous load on the viewer.76 The primary goal of good chart design is to minimize this extraneous load. This freedom allows for experimentation with unconventional techniques, materials, and subjects, opening up new possibilities for artistic expression. The toolbox is vast and ever-growing, the ethical responsibilities are significant, and the potential to make a meaningful impact is enormous. You still have to do the work of actually generating the ideas, and I've learned that this is not a passive waiting game but an active, structured process. Ultimately, design is an act of profound optimism. The wheel should be positioned so your arms are slightly bent when holding it, allowing for easy turning without stretching. It is a journey from uncertainty to clarity. By studying the works of master artists and practicing fundamental drawing exercises, aspiring artists can build a solid foundation upon which to develop their skills.

Comprehensive Review

Study the work of famous cartoonists and practice simplifying complex forms into basic shapes. Unlike a finished work, a template is a vessel of potential, its value defined by the empty spaces it offers and the logical structure it imposes. A designer who only looks at other design work is doomed to create in an echo chamber, endlessly recycling the same tired trends. A teacher, whether in a high-tech classroom or a remote village school in a place like Aceh, can go online and find a printable worksheet for virtually any subject imaginable. The technical specifications of your Aeris Endeavour are provided to give you a detailed understanding of its engineering and capabilities. It is a private, bespoke experience, a universe of one. The design system is the ultimate template, a molecular, scalable, and collaborative framework for building complex and consistent digital experiences. Inclusive design, or universal design, strives to create products and environments that are accessible and usable by people of all ages and abilities. Comparing two slices of a pie chart is difficult, and comparing slices across two different pie charts is nearly impossible. The idea of being handed a guide that dictated the exact hexadecimal code for blue I had to use, or the precise amount of white space to leave around a logo, felt like a creative straitjacket. Communication with stakeholders is a critical skill. The time constraint forces you to be decisive and efficient. In a professional context, however, relying on your own taste is like a doctor prescribing medicine based on their favorite color. What style of photography should be used? The template has become a dynamic, probabilistic framework, a set of potential layouts that are personalized in real-time based on your past behavior. The choice of a typeface can communicate tradition and authority or modernity and rebellion. The stencil is perhaps the most elemental form of a physical template. These fragments are rarely useful in the moment, but they get stored away in the library in my head, waiting for a future project where they might just be the missing piece, the "old thing" that connects with another to create something entirely new. Avoid cluttering the focal point with too many distractions. It was also in this era that the chart proved itself to be a powerful tool for social reform.

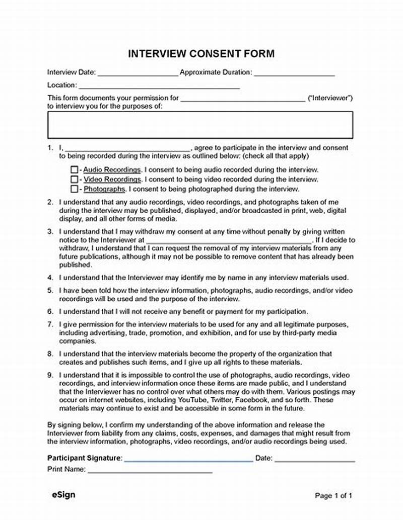
Consent Form Sample For Interview
Consent Form Sample For Interview
Soft Food Crossword Clue 3 Letters
Soft Food Crossword Clue 3 Letters
Merlin The Sword In The Stone Coloring Page
Merlin The Sword In The Stone Coloring Page
48v Lithium Battery Voltage Chart
48v Lithium Battery Voltage Chart
Geico Drive In Claims Center Locations
Geico Drive In Claims Center Locations
Coloring Page Watch
Coloring Page Watch

Conclusion

Because these tools are built around the concept of components, design systems, and responsive layouts, they naturally encourage designers to think in a more systematic, modular, and scalable way. An educational chart, such as a multiplication table, an alphabet chart, or a diagram of a frog's life cycle, leverages the principles of visual learning to make complex information more memorable and easier to understand for young learners.56 This demonstrates the chart's dual role in academia: it is both a tool for managing the process of learning and a medium for the learning itself.The Project Manager's Chart: Visualizing the Path to CompletionWhile many of the charts discussed are simple in their design, the principles of visual organization can be applied to more complex challenges, such as project management. In education, crochet is being embraced as a valuable skill that can teach patience, creativity, and problem-solving. Its genius lies in what it removes: the need for cognitive effort. How does the brand write? In the vast lexicon of visual tools designed to aid human understanding, the term "value chart" holds a uniquely abstract and powerful position. If you then activate your turn signal, the light will flash and a warning chime will sound. Beyond the ethical and functional dimensions, there is also a profound aesthetic dimension to the chart. For showing how the composition of a whole has changed over time—for example, the market share of different music formats from vinyl to streaming—a standard stacked bar chart can work, but a streamgraph, with its flowing, organic shapes, can often tell the story in a more beautiful and compelling way. These guidelines ensure that a brand's visual storytelling remains consistent, preventing a jarring mix of styles that can confuse the audience. Imagine a city planner literally walking through a 3D model of a city, where buildings are colored by energy consumption and streams of light represent traffic flow. Now, when I get a brief, I don't lament the constraints. Should it be bright, optimistic, and feature smiling people? A good interactive visualization might start with a high-level overview of the entire dataset. The manual wasn't telling me what to say, but it was giving me a clear and beautiful way to say it.

Each of these charts serves a specific cognitive purpose, designed to reduce complexity and provide a clear framework for action or understanding. The modern computer user interacts with countless forms of digital template every single day. My first few attempts at projects were exercises in quiet desperation, frantically scrolling through inspiration websites, trying to find something, anything, that I could latch onto, modify slightly, and pass off as my own. Faced with this overwhelming and often depressing landscape of hidden costs, there is a growing movement towards transparency and conscious consumerism, an attempt to create fragments of a real-world cost catalog. The humble catalog, in all its forms, is a far more complex and revealing document than we often give it credit for. It stands as a powerful counterpoint to the idea that all things must become purely digital applications. Beyond the basics, advanced techniques open up even more creative avenues. The use of proprietary screws, glued-in components, and a lack of available spare parts means that a single, minor failure can render an entire device useless. After you've done all the research, all the brainstorming, all the sketching, and you've filled your head with the problem, there often comes a point where you hit a wall. It allows us to see the Roman fort still hiding in the layout of a modern city, to recognize the echo of our parents' behavior in our own actions, and to appreciate the timeless archetypes that underpin our favorite stories.

Related Topics