Get Your Wish Piano

Get Your Wish Piano

Get Your Wish Piano. Gently press it down until it is snug and level with the surface. A river carves a canyon, a tree reaches for the sun, a crystal forms in the deep earth—these are processes, not projects. The Bauhaus school in Germany, perhaps the single most influential design institution in history, sought to reunify art, craft, and industry. You can use a simple line and a few words to explain *why* a certain spike occurred in a line chart. Refer to the corresponding section in this manual to understand its meaning and the recommended action. When you use a printable chart, you are engaging in a series of cognitive processes that fundamentally change your relationship with your goals and tasks. Unlike a conventional gasoline vehicle, the gasoline engine may not start immediately; this is normal for the Toyota Hybrid System, which prioritizes electric-only operation at startup and low speeds to maximize fuel efficiency. We see it in the business models of pioneering companies like Patagonia, which have built their brand around an ethos of transparency. So grab a pencil, let your inhibitions go, and allow your creativity to soar freely on the blank canvas of possibility. The professional design process is messy, collaborative, and, most importantly, iterative. By the 14th century, knitting had become established in Europe, where it was primarily a male-dominated craft. The experience of using an object is never solely about its mechanical efficiency. An architect uses the language of space, light, and material to shape experience. This cross-pollination of ideas is not limited to the history of design itself. Here are some key benefits: Continuing Your Artistic Journey Spreadsheet Templates: Utilized in programs like Microsoft Excel and Google Sheets, these templates are perfect for financial planning, budgeting, project management, and data analysis.

Comprehensive Review

As I navigate these endless digital shelves, I am no longer just a consumer looking at a list of products. Not glamorous, unattainable models, but relatable, slightly awkward, happy-looking families. Use only these terminals and follow the connection sequence described in this manual to avoid damaging the sensitive hybrid electrical system. It's not because I find it aesthetically pleasing, but because its x-height and clear letterforms ensure legibility for an older audience on a mobile screen. It’s a specialized skill, a form of design that is less about flashy visuals and more about structure, logic, and governance. Artists might use data about climate change to create a beautiful but unsettling sculpture, or data about urban traffic to compose a piece of music. Digital notifications, endless emails, and the persistent hum of connectivity create a state of information overload that can leave us feeling drained and unfocused.1 It is within this complex landscape that a surprisingly simple tool has not only endured but has proven to be more relevant than ever: the printable chart. It is the responsibility of the technician to use this information wisely, to respect the inherent dangers of the equipment, and to perform all repairs to the highest standard of quality. From the detailed pen and ink drawings of the Renaissance to the expressive charcoal sketches of the Impressionists, artists have long embraced the power and beauty of monochrome art. To release it, press the brake pedal and push the switch down. The genius of a good chart is its ability to translate abstract numbers into a visual vocabulary that our brains are naturally wired to understand. We are entering the era of the algorithmic template. Tambour involved using a small hook to create chain-stitch embroidery on fabric, which closely resembles modern crochet techniques. This was a revelation. It returns zero results for a reasonable query, it surfaces completely irrelevant products, it feels like arguing with a stubborn and unintelligent machine. They can download a printable file, print as many copies as they need, and assemble a completely custom organizational system. The cognitive cost of sifting through thousands of products, of comparing dozens of slightly different variations, of reading hundreds of reviews, is a significant mental burden. Prompts can range from simple questions, such as "What made you smile today?" to more complex reflections, such as "What challenges have you overcome this week?" By gradually easing into the practice, individuals can build confidence and find their own journaling rhythm. It’s about understanding that a chart doesn't speak for itself. With your foot firmly on the brake pedal, press the engine START/STOP button.

Union County College Course Catalog Fall 2017
Union County College Course Catalog Fall 2017
Blank Medical Power Of Attorney Form
Blank Medical Power Of Attorney Form
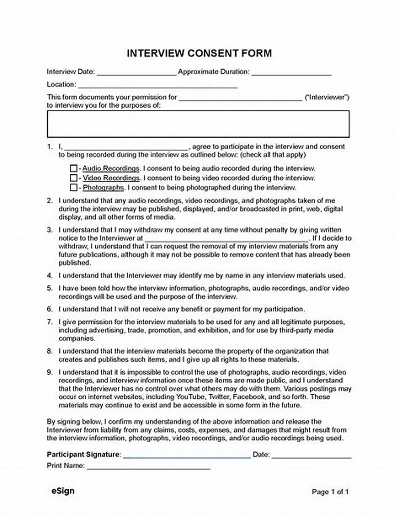
Consent Form Sample For Interview
Consent Form Sample For Interview
Castle With Princess Coloring Pages
Castle With Princess Coloring Pages
Huge In Scope Crossword
Huge In Scope Crossword
Alphabet Ender In England Crossword
Alphabet Ender In England Crossword

Conclusion

This section is designed to help you resolve the most common problems. Its forms may evolve from printed tables to sophisticated software, but its core function—to provide a single, unambiguous point of truth between two different ways of seeing the world—remains constant. The dawn of the digital age has sparked a new revolution in the world of charting, transforming it from a static medium into a dynamic and interactive one. Finally, you will need software capable of opening and viewing PDF (Portable Document Format) files. This act of transmutation is not merely a technical process; it is a cultural and psychological one. When you can do absolutely anything, the sheer number of possibilities is so overwhelming that it’s almost impossible to make a decision. Use this manual in conjunction with those resources. The utility of such a diverse range of printable options cannot be overstated. In the 1970s, Tukey advocated for a new approach to statistics he called "Exploratory Data Analysis" (EDA). These entries can be specific, such as a kind gesture from a friend, or general, such as the beauty of nature. Let us now delve into one of the most common repair jobs you will likely face: replacing the front brake pads and rotors. We see it in the development of carbon footprint labels on some products, an effort to begin cataloging the environmental cost of an item's production and transport. The catalog you see is created for you, and you alone. How are the legs joined to the seat? At its core, drawing is a deeply personal and intimate act.

For driving in hilly terrain or when extra engine braking is needed, you can activate the transmission's Sport mode. Understanding how light interacts with objects helps you depict shadows, highlights, and textures accurately. Check the simple things first. A good search experience feels like magic. This manual serves as a guide for the trained professional. More often, they are patterns we follow, traced from the ghost template laid down by our family dynamics and the societal norms we absorbed as children. Understanding these core specifications is essential for accurate diagnosis and for sourcing correct replacement components. The choice of materials in a consumer product can contribute to deforestation, pollution, and climate change. Now you can place the caliper back over the rotor and the new pads. By planning your workout in advance on the chart, you eliminate the mental guesswork and can focus entirely on your performance.34 After each workout, you record your numbers.

Related Topics