Gudetama Coloring Pictures

Gudetama Coloring Pictures

Gudetama Coloring Pictures. I just start sketching, doodling, and making marks. Alongside this broad consumption of culture is the practice of active observation, which is something entirely different from just looking. This focus on the final printable output is what separates a truly great template from a mediocre one. This procedure requires specific steps to be followed in the correct order to prevent sparks and damage to the vehicle's electrical system. These documents are the visible tip of an iceberg of strategic thinking. It demonstrates a mature understanding that the journey is more important than the destination. It was produced by a team working within a strict set of rules, a shared mental template for how a page should be constructed—the size of the illustrations, the style of the typography, the way the price was always presented. His motivation was explicitly communicative and rhetorical. They can filter the data, hover over points to get more detail, and drill down into different levels of granularity. This is a messy, iterative process of discovery. Ancient knitted artifacts have been discovered in various parts of the world, including Egypt, South America, and Europe. It is a masterpiece of information density and narrative power, a chart that functions as history, as data analysis, and as a profound anti-war statement. For a year, the two women, living on opposite sides of the Atlantic, collected personal data about their own lives each week—data about the number of times they laughed, the doors they walked through, the compliments they gave or received. Knitters often take great pleasure in choosing the perfect yarn and pattern for a recipient, crafting something that is uniquely suited to their tastes and needs. But what happens when it needs to be placed on a dark background?

Comprehensive Review

It meant a marketing manager or an intern could create a simple, on-brand presentation or social media graphic with confidence, without needing to consult a designer for every small task. The physical act of writing by hand on a paper chart stimulates the brain more actively than typing, a process that has been shown to improve memory encoding, information retention, and conceptual understanding.64 This is because handwriting is a more complex motor and cognitive task, forcing a slower and more deliberate engagement with the information being recorded. Assuming everything feels good, you have successfully completed a major repair, saved a significant amount of money, and gained invaluable experience and confidence in your ability to maintain your own vehicle. For best results, a high-quality printer and cardstock paper are recommended. Below the touchscreen, you will find the controls for the automatic climate control system. Origins and Historical Journey The Role of Gratitude Journaling Home and Personal Use Business Crochet also fosters a sense of community. Clicking on this link will take you to our central support hub. The invention of desktop publishing software in the 1980s, with programs like PageMaker, made this concept more explicit. Her chart was not just for analysis; it was a weapon of persuasion, a compelling visual argument that led to sweeping reforms in military healthcare. Practice drawing from life as much as possible. I see it as one of the most powerful and sophisticated tools a designer can create. Alongside this broad consumption of culture is the practice of active observation, which is something entirely different from just looking. This realization led me to see that the concept of the template is far older than the digital files I was working with. A chart is a form of visual argumentation, and as such, it carries a responsibility to represent data with accuracy and honesty.58 Ethical chart design requires avoiding any form of visual distortion that could mislead the audience. Experiment with different types to find what works best for your style. When I came to design school, I carried this prejudice with me. Sellers must state their terms of use clearly. The journey of a free printable, from its creation to its use, follows a path that has become emblematic of modern internet culture. Escher, demonstrates how simple geometric shapes can combine to create complex and visually striking designs. Perhaps most powerfully, some tools allow users to sort the table based on a specific column, instantly reordering the options from best to worst on that single metric.

Is Wish Hand Sanitizer Good
Is Wish Hand Sanitizer Good
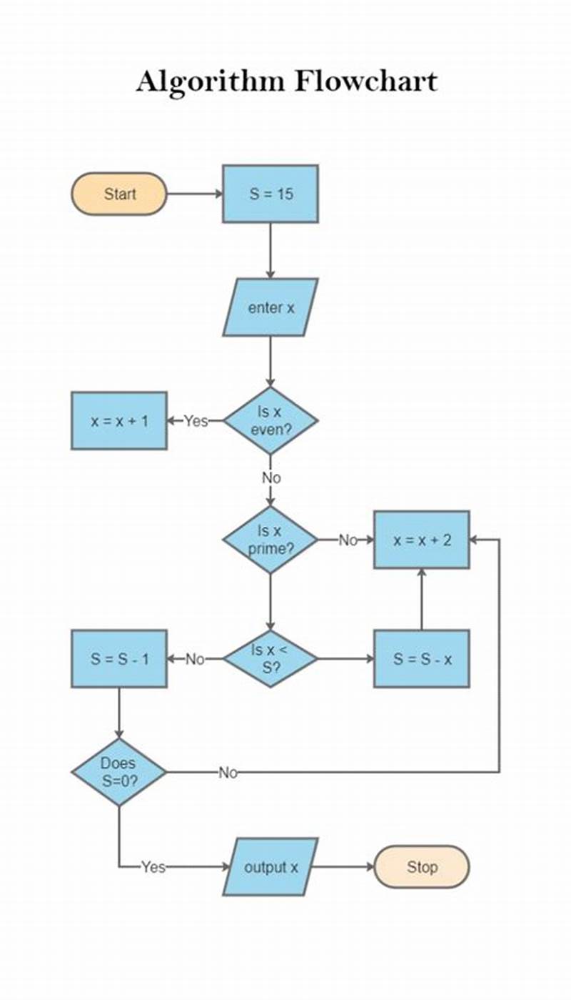
Algorithm Chart Maker
Algorithm Chart Maker
2 And 10 Year Bond Yield Chart
2 And 10 Year Bond Yield Chart
Ford F1 Parts Catalog
Ford F1 Parts Catalog
Printable Biblical Affirmations
Printable Biblical Affirmations
10 Off 50 Staples Coupon Printable
10 Off 50 Staples Coupon Printable

Conclusion

This allows for affordable and frequent changes to home decor. Clarity is the most important principle. First and foremost is choosing the right type of chart for the data and the story one wishes to tell.81 A bar chart is excellent for comparing values across different categories, a line chart is ideal for showing trends over time, and a pie chart should be used sparingly, only for representing simple part-to-whole relationships with a few categories.74 The typography used on a printable chart is also critical for readability. A simple video could demonstrate a product's features in a way that static photos never could. This will launch your default PDF reader application, and the manual will be displayed on your screen. The myth of the lone genius is perhaps the most damaging in the entire creative world, and it was another one I had to unlearn. These platforms have taken the core concept of the professional design template and made it accessible to millions of people who have no formal design training. Goal-setting worksheets guide users through their ambitions. This form of journaling offers a framework for exploring specific topics and addressing particular challenges, making it easier for individuals to engage in meaningful reflection. This focus on the user experience is what separates a truly valuable template from a poorly constructed one. My professor ignored the aesthetics completely and just kept asking one simple, devastating question: “But what is it trying to *say*?” I didn't have an answer. Sometimes the client thinks they need a new logo, but after a deeper conversation, the designer might realize what they actually need is a clearer messaging strategy or a better user onboarding process. I couldn't rely on my usual tricks—a cool photograph, an interesting font pairing, a complex color palette. Our brains are not naturally equipped to find patterns or meaning in a large table of numbers. By plotting the locations of cholera deaths on a map, he was able to see a clear cluster around a single water pump on Broad Street, proving that the disease was being spread through contaminated water, not through the air as was commonly believed.

This includes the time spent learning how to use a complex new device, the time spent on regular maintenance and cleaning, and, most critically, the time spent dealing with a product when it breaks. In a world saturated with more data than ever before, the chart is not just a useful tool; it is an indispensable guide, a compass that helps us navigate the vast and ever-expanding sea of information. The catalog's demand for our attention is a hidden tax on our mental peace. The true cost becomes apparent when you consider the high price of proprietary ink cartridges and the fact that it is often cheaper and easier to buy a whole new printer than to repair the old one when it inevitably breaks. Personal Projects and Hobbies The Industrial Revolution brought significant changes to the world of knitting. This realization leads directly to the next painful lesson: the dismantling of personal taste as the ultimate arbiter of quality. In this exchange, the user's attention and their presence in a marketing database become the currency. The chart becomes a rhetorical device, a tool of persuasion designed to communicate a specific finding to an audience. This chart is typically a simple, rectangular strip divided into a series of discrete steps, progressing from pure white on one end to solid black on the other, with a spectrum of grays filling the space between. By recommending a small selection of their "favorite things," they act as trusted guides for their followers, creating a mini-catalog that cuts through the noise of the larger platform.

Related Topics