Il Form 1040 Schedule Icr

Il Form 1040 Schedule Icr

Il Form 1040 Schedule Icr. The starting and driving experience in your NISSAN is engineered to be smooth, efficient, and responsive. Our consumer culture, once shaped by these shared artifacts, has become atomized and fragmented into millions of individual bubbles. How can we *adapt* the design of a bird's nest to its structure? Even looking at something like biology can spark incredible ideas. The experience was tactile; the smell of the ink, the feel of the coated paper, the deliberate act of folding a corner or circling an item with a pen. From a simple blank grid on a piece of paper to a sophisticated reward system for motivating children, the variety of the printable chart is vast, hinting at its incredible versatility.3 This guide will explore the profound impact of the printable chart, delving into the science that makes it so effective, its diverse applications across every facet of life, and the practical steps to create and use your own. Printable maps, charts, and diagrams help students better understand complex concepts. The process of design, therefore, begins not with sketching or modeling, but with listening and observing. Moreover, drawing serves as a form of meditation, offering artists a reprieve from the chaos of everyday life. It’s the understanding that the power to shape perception and influence behavior is a serious responsibility, and it must be wielded with care, conscience, and a deep sense of humility. I now understand that the mark of a truly professional designer is not the ability to reject templates, but the ability to understand them, to use them wisely, and, most importantly, to design them. When a single, global style of furniture or fashion becomes dominant, countless local variations, developed over centuries, can be lost. This style requires a strong grasp of observation, proportions, and shading. It's an active, conscious effort to consume not just more, but more widely. Furthermore, the relentless global catalog of mass-produced goods can have a significant cultural cost, contributing to the erosion of local crafts, traditions, and aesthetic diversity.

Comprehensive Review

This statement can be a declaration of efficiency, a whisper of comfort, a shout of identity, or a complex argument about our relationship with technology and with each other. I wish I could explain that ideas aren’t out there in the ether, waiting to be found. We also explored the significant advantages of using the digital manual, highlighting powerful features like text search and the clickable table of contents that make finding information easier and faster than ever before. Unlike a building or a mass-produced chair, a website or an app is never truly finished. Fasten your seatbelt, ensuring the lap portion is snug and low across your hips and the shoulder portion lies flat across your chest. For showing how the composition of a whole has changed over time—for example, the market share of different music formats from vinyl to streaming—a standard stacked bar chart can work, but a streamgraph, with its flowing, organic shapes, can often tell the story in a more beautiful and compelling way. The clumsy layouts were a result of the primitive state of web design tools. The cost of the advertising campaign, the photographers, the models, and, recursively, the cost of designing, printing, and distributing the very catalog in which the product appears, are all folded into that final price. Automatic Emergency Braking with Pedestrian Detection monitors your speed and distance to the vehicle ahead and can also detect pedestrians in your path. Always come to a complete stop before shifting between Drive and Reverse. The persuasive, almost narrative copy was needed to overcome the natural skepticism of sending hard-earned money to a faceless company in a distant city. They might therefore create a printable design that is minimalist, using clean lines and avoiding large, solid blocks of color to make the printable more economical for the user. But when I started applying my own system to mockups of a website and a brochure, the magic became apparent. The next step is to adjust the mirrors. The low initial price of a new printer, for example, is often a deceptive lure. The vehicle is powered by a 2.0-liter, four-cylinder gasoline direct injection engine, producing 155 horsepower and 196 Newton-meters of torque. One person had put it in a box, another had tilted it, another had filled it with a photographic texture. It’s not a linear path from A to B but a cyclical loop of creating, testing, and refining. By providing a constant, easily reviewable visual summary of our goals or information, the chart facilitates a process of "overlearning," where repeated exposure strengthens the memory traces in our brain.16 Every time you glance at your workout chart or your study schedule chart, you are reinforcing those neural pathways, making the information more resilient to the effects of time. It is a piece of furniture in our mental landscape, a seemingly simple and unassuming tool for presenting numbers.

3d Printable Puzzle Box
3d Printable Puzzle Box
Free Printable Letter G Coloring Pages
Free Printable Letter G Coloring Pages
Werner Fall Protection Catalog
Werner Fall Protection Catalog
Lucky Spots To Wish In Genshin
Lucky Spots To Wish In Genshin
Pilgrimage To Mecca Crossword
Pilgrimage To Mecca Crossword
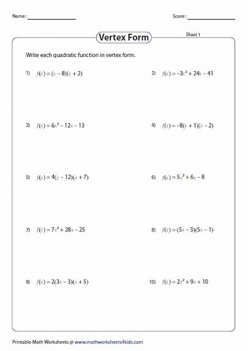
Vertex Form Practice Problems
Vertex Form Practice Problems

Conclusion

The reason this simple tool works so well is that it simultaneously engages our visual memory, our physical sense of touch and creation, and our brain's innate reward system, creating a potent trifecta that helps us learn, organize, and achieve in a way that purely digital or text-based methods struggle to replicate. Reviewing your sketchbook can provide insights into your development and inspire future projects. The beauty of Minard’s Napoleon map is not decorative; it is the breathtaking elegance with which it presents a complex, multivariate story with absolute clarity. A torque wrench is a critical tool that we highly recommend you purchase or borrow. This sample is a world away from the full-color, photographic paradise of the 1990s toy book. In the final analysis, the free printable represents a remarkable and multifaceted cultural artifact of our time. While the paperless office remains an elusive ideal and screens become ever more integrated into our lives, the act of printing endures, not as an anachronism, but as a testament to our ongoing desire for the tangible. Learning to trust this process is difficult. Writing about one’s thoughts and feelings can be a powerful form of emotional release, helping individuals process and make sense of their experiences. Florence Nightingale’s work in the military hospitals of the Crimean War is a testament to this. Architects use drawing to visualize their ideas and communicate with clients and colleagues. We can now create dashboards and tools that allow the user to become their own analyst. This sample is a powerful reminder that the principles of good catalog design—clarity, consistency, and a deep understanding of the user's needs—are universal, even when the goal is not to create desire, but simply to provide an answer. This represents another fundamental shift in design thinking over the past few decades, from a designer-centric model to a human-centered one. Furthermore, drawing has therapeutic benefits, offering individuals a means of catharsis and self-discovery.

It can help you detect stationary objects you might not see and can automatically apply the brakes to help prevent a rear collision. A professional designer in the modern era can no longer afford to be a neutral technician simply executing a client’s orders without question. Teachers can find materials for every grade level and subject. Check that all wire connections are secure, as vibration can cause screw-type terminals to loosen over time. Your vehicle's instrument panel is designed to provide you with essential information clearly and concisely. The idea of being handed a guide that dictated the exact hexadecimal code for blue I had to use, or the precise amount of white space to leave around a logo, felt like a creative straitjacket. Creating a printable business is an attractive prospect for many. From here, you can monitor the water level, adjust the light schedule, and receive helpful notifications and tips tailored to the specific plant you have chosen to grow. Your NISSAN is equipped with Safety Shield 360, a suite of six advanced safety and driver-assist features designed to provide 360 degrees of confidence. In our modern world, the printable chart has found a new and vital role as a haven for focused thought, a tangible anchor in a sea of digital distraction.

Related Topics