Middleton Academic Calendar

Middleton Academic Calendar

Middleton Academic Calendar. It’s a design that is not only ineffective but actively deceptive. Printable photo booth props add a fun element to any gathering. The hydraulic system operates at a nominal pressure of 70 bar, and the coolant system has a 200-liter reservoir capacity with a high-flow delivery pump. The field of data sonification explores how to turn data into sound, using pitch, volume, and rhythm to represent trends and patterns. The challenge is no longer "think of anything," but "think of the best possible solution that fits inside this specific box." And that, I've found, is where the most brilliant ideas are hiding. Now, I understand that the blank canvas is actually terrifying and often leads to directionless, self-indulgent work. We had a "shopping cart," a skeuomorphic nod to the real world, but the experience felt nothing like real shopping. Data Humanism doesn't reject the principles of clarity and accuracy, but it adds a layer of context, imperfection, and humanity. The instinct is to just push harder, to chain yourself to your desk and force it. I had to define its clear space, the mandatory zone of exclusion around it to ensure it always had room to breathe and was never crowded by other elements. From the intricate patterns of lace shawls to the cozy warmth of a hand-knitted sweater, knitting offers endless possibilities for those who take up the needles. The paper is rough and thin, the page is dense with text set in small, sober typefaces, and the products are rendered not in photographs, but in intricate, detailed woodcut illustrations. Digital journaling apps and online blogs provide convenient and accessible ways to document thoughts and experiences. Learning about the history of design initially felt like a boring academic requirement. This has empowered a new generation of creators and has blurred the lines between professional and amateur.

Comprehensive Review

It has become the dominant organizational paradigm for almost all large collections of digital content. The seat cushion height should be set to provide a clear and commanding view of the road ahead over the dashboard. Once a story or an insight has been discovered through this exploratory process, the designer's role shifts from analyst to storyteller. The basic technique of crochet involves creating loops and stitches with a single hook. Digital tools are dependent on battery life and internet connectivity, they can pose privacy and security risks, and, most importantly, they are a primary source of distraction through a constant barrage of notifications and the temptation of multitasking.96 The printable chart, in its analog simplicity, offers a direct solution to these digital-age problems. The host can personalize the text with names, dates, and locations. In the realm of education, the printable chart is an indispensable ally for both students and teachers. Our professor showed us the legendary NASA Graphics Standards Manual from 1975. Architects use drawing to visualize their ideas and concepts, while designers use it to communicate their vision to clients and colleagues. It takes spreadsheets teeming with figures, historical records spanning centuries, or the fleeting metrics of a single heartbeat and transforms them into a single, coherent image that can be comprehended in moments. In the realm of education, the printable chart is an indispensable ally for both students and teachers. A slopegraph, for instance, is brilliant for showing the change in rank or value for a number of items between two specific points in time. It is an artifact that sits at the nexus of commerce, culture, and cognition. Furthermore, they are often designed to be difficult, if not impossible, to repair. Accessibility and User-Friendliness: Most templates are designed to be easy to use, even for those with limited technical skills. What if we *eliminate* the backrest? After design, the image must be saved in a format that preserves its quality. The gap between design as a hobby or a form of self-expression and design as a profession is not a small step; it's a vast, complicated, and challenging chasm to cross, and it has almost nothing to do with how good your taste is or how fast you are with the pen tool. A printable chart is far more than just a grid on a piece of paper; it is any visual framework designed to be physically rendered and interacted with, transforming abstract goals, complex data, or chaotic schedules into a tangible, manageable reality.1 Whether it's a child's sticker chart designed to encourage good behavior or a sophisticated Gantt chart guiding a multi-million dollar project, every printable chart functions as a powerful interface between our intentions and our actions. Practice one-point, two-point, and three-point perspective techniques to learn how objects appear smaller as they recede into the distance.

Printable Coloring Pages For 3 4 Year Olds
Printable Coloring Pages For 3 4 Year Olds
Eclaimsline.com File A Claim
Eclaimsline.com File A Claim
Teddy Bear Holding Heart Coloring Page
Teddy Bear Holding Heart Coloring Page
Advent Calendar Paper Source
Advent Calendar Paper Source
Crochet Easter Eggs Free Pattern
Crochet Easter Eggs Free Pattern
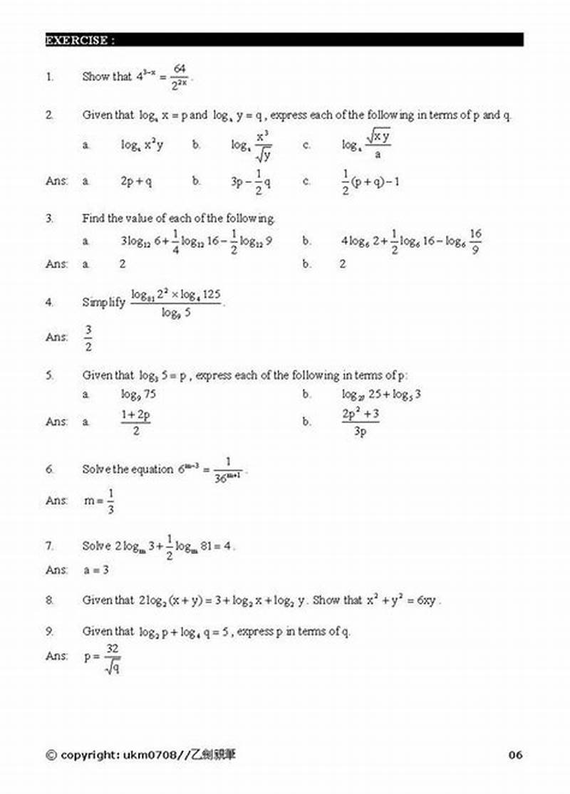
Add Math Form 4 Chapter 5
Add Math Form 4 Chapter 5

Conclusion

Similarly, learning about Dr. Marketing departments benefit significantly from graphic design templates, which facilitate the creation of eye-catching advertisements, social media posts, and promotional materials. Tunisian crochet, for instance, uses a longer hook to create a fabric that resembles both knitting and traditional crochet. Using a P2 pentalobe screwdriver, remove the two screws located on either side of the charging port at the bottom of the device. If it detects a loss of traction or a skid, it will automatically apply the brakes to individual wheels and may reduce engine power to help stabilize the vehicle. This perspective champions a kind of rational elegance, a beauty of pure utility. Once the old battery is removed, prepare the new battery for installation. The familiar structure of a catalog template—the large image on the left, the headline and description on the right, the price at the bottom—is a pattern we have learned. These genre templates provide a familiar structure that allows the creator to focus on innovating within that framework, playing with the conventions or subverting them to create something fresh. He champions graphics that are data-rich and information-dense, that reward a curious viewer with layers of insight. Artists, designers, and content creators benefit greatly from online templates. From its humble beginnings as a tool for 18th-century economists, the chart has grown into one of the most versatile and powerful technologies of the modern world. You can then lift the lid and empty any remaining water from the basin. A "feelings chart" or "feelings thermometer" is an invaluable tool, especially for children, in developing emotional intelligence.39 This type of chart provides a visual vocabulary for emotions, helping individuals to identify, communicate, and ultimately regulate their feelings more effectively.39 Even complex decision-making can be simplified with a printable chart. That paper object was a universe unto itself, a curated paradise with a distinct beginning, middle, and end.

It was the moment that the invisible rules of the print shop became a tangible and manipulable feature of the software. In manufacturing, the concept of the template is scaled up dramatically in the form of the mold. A notification from a social media app or an incoming email can instantly pull your focus away from the task at hand, making it difficult to achieve a state of deep work.1 Furthermore, prolonged screen time can lead to screen fatigue, eye strain, and a general sense of being drained.1This is where the printable chart reveals its unique strength. The interior rearview mirror should frame the entire rear window. Because it creates a clear visual hierarchy that guides the user's eye to the call-to-action, which is the primary business goal of the page. We are not the customers of the "free" platform; we are the product that is being sold to the real customers, the advertisers. It is a sample not just of a product, but of a specific moment in technological history, a sample of a new medium trying to find its own unique language by clumsily speaking the language of the medium it was destined to replace. The freedom from having to worry about the basics allows for the freedom to innovate where it truly matters. This act of creation involves a form of "double processing": first, you formulate the thought in your mind, and second, you engage your motor skills to translate that thought into physical form on the paper.15 This dual engagement deeply impresses the information into your memory. The choice of materials in a consumer product can contribute to deforestation, pollution, and climate change.

Related Topics