Puppet Patterns Free Printables

Puppet Patterns Free Printables

Puppet Patterns Free Printables. The focus is not on providing exhaustive information, but on creating a feeling, an aura, an invitation into a specific cultural world. Seeing one for the first time was another one of those "whoa" moments. If the LED light is not working, check the connection between the light hood and the support arm. If the issue is related to dimensional inaccuracy in finished parts, the first step is to verify the machine's mechanical alignment and backlash parameters. By recommending a small selection of their "favorite things," they act as trusted guides for their followers, creating a mini-catalog that cuts through the noise of the larger platform. There are actual techniques and methods, which was a revelation to me. It is a reminder of the beauty and value of handmade items in a world that often prioritizes speed and convenience. Every printable template is a testament to how a clear, printable structure can simplify complexity. Finally, you will need software capable of opening and viewing PDF (Portable Document Format) files. Most modern computers and mobile devices have a built-in PDF reader. These specifications represent the precise engineering that makes your Aeris Endeavour a capable, efficient, and enjoyable vehicle to own and drive. Professional design is a business. For example, on a home renovation project chart, the "drywall installation" task is dependent on the "electrical wiring" task being finished first. This interactivity changes the user from a passive observer into an active explorer, able to probe the data and ask their own questions. The catalog is no longer a shared space with a common architecture.

Comprehensive Review

This idea, born from empathy, is infinitely more valuable than one born from a designer's ego. A professional doesn’t guess what these users need; they do the work to find out. This was the moment the scales fell from my eyes regarding the pie chart. A product is usable if it is efficient, effective, and easy to learn. Video editing templates help streamline the production of high-quality video content for YouTube and other platforms. Crafters can print their own stickers on special sticker paper. I know I still have a long way to go, but I hope that one day I'll have the skill, the patience, and the clarity of thought to build a system like that for a brand I believe in. The term now extends to 3D printing as well. The poster was dark and grungy, using a distressed, condensed font. It was the "no" document, the instruction booklet for how to be boring and uniform. The initial idea is just the ticket to start the journey; the real design happens along the way. For millennia, humans had used charts in the form of maps and astronomical diagrams to represent physical space, but the idea of applying the same spatial logic to abstract, quantitative data was a radical leap of imagination. Carefully hinge the screen open from the left side, like a book, to expose the internal components. To ignore it is to condemn yourself to endlessly reinventing the wheel. I quickly learned that this is a fantasy, and a counter-productive one at that. BLIS uses radar sensors to monitor your blind spots and will illuminate an indicator light in the corresponding side mirror if it detects a vehicle in that zone. This act of externalizing and organizing what can feel like a chaotic internal state is inherently calming and can significantly reduce feelings of anxiety and overwhelm.30This type of chart directly supports mental health by promoting self-awareness. Design, in contrast, is fundamentally teleological; it is aimed at an end. The classic example is the nose of the Japanese bullet train, which was redesigned based on the shape of a kingfisher's beak to reduce sonic booms when exiting tunnels. They don't just present a chart; they build a narrative around it.

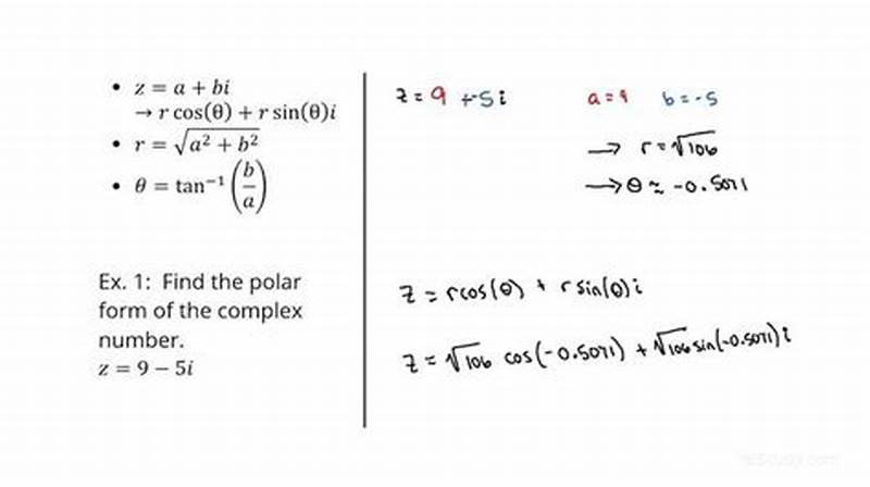
Adding Complex Numbers In Polar Form Calculator
Adding Complex Numbers In Polar Form Calculator
Capital Of Qatar Crossword
Capital Of Qatar Crossword
Boystanding Elf On The Shelf Coloring Pages
Boystanding Elf On The Shelf Coloring Pages
I Wish For You A Beautiful Life
I Wish For You A Beautiful Life
Hammer Of The Lone Ranger Crossword Clue
Hammer Of The Lone Ranger Crossword Clue
Block Letter Stencils Free Printable
Block Letter Stencils Free Printable

Conclusion

It is a mental exercise so ingrained in our nature that we often perform it subconsciously. Take photographs as you go to remember the precise routing of all cables. As they gain confidence and experience, they can progress to more complex patterns and garments, exploring the vast array of textures, colors, and designs that knitting offers. In science and engineering, where collaboration is global and calculations must be exact, the metric system (specifically the International System of Units, or SI) is the undisputed standard. Canva has made graphic design accessible to many more people. A fair and useful chart is built upon criteria that are relevant to the intended audience and the decision to be made. Experiment with different materials and techniques to create abstract compositions. Drawing is a timeless art form that has captivated humanity for centuries. It connects the reader to the cycles of the seasons, to a sense of history, and to the deeply satisfying process of nurturing something into existence. The craft community also embraces printable technology. The spindle motor itself does not need to be removed for this procedure. It is a way to test an idea quickly and cheaply, to see how it feels and works in the real world. A basic pros and cons chart allows an individual to externalize their mental debate onto paper, organizing their thoughts, weighing different factors objectively, and arriving at a more informed and confident decision.41 Each of these personal development charts serves the same fundamental purpose: to bring structure, clarity, and intentionality to the often-messy process of self-improvement.The application of the printable chart extends naturally into the domain of health and fitness, where tracking and consistency are paramount. A single smartphone is a node in a global network that touches upon geology, chemistry, engineering, economics, politics, sociology, and environmental science. Use the provided cleaning brush to gently scrub any hard-to-reach areas and remove any mineral deposits or algae that may have formed.

This cross-pollination of ideas is not limited to the history of design itself. Using techniques like collaborative filtering, the system can identify other users with similar tastes and recommend products that they have purchased. I'm fascinated by the world of unconventional and physical visualizations. The responsibility is always on the designer to make things clear, intuitive, and respectful of the user’s cognitive and emotional state. To understand any catalog sample, one must first look past its immediate contents and appreciate the fundamental human impulse that it represents: the drive to create order from chaos through the act of classification. The second shows a clear non-linear, curved relationship. The Forward Collision-Avoidance Assist system uses a front-facing camera and radar to monitor the road ahead. The goal is not to come up with a cool idea out of thin air, but to deeply understand a person's needs, frustrations, and goals, and then to design a solution that addresses them. These fragments are rarely useful in the moment, but they get stored away in the library in my head, waiting for a future project where they might just be the missing piece, the "old thing" that connects with another to create something entirely new. The "shopping cart" icon, the underlined blue links mimicking a reference in a text, the overall attempt to make the website feel like a series of linked pages in a book—all of these were necessary bridges to help users understand this new and unfamiliar environment.

Related Topics