Ssa Deposit Calendar

Ssa Deposit Calendar

Ssa Deposit Calendar. The system supports natural voice commands, allowing you to control many features simply by speaking, which helps you keep your hands on the wheel and your eyes on the road. The natural human reaction to criticism of something you’ve poured hours into is to become defensive. If you fail to react in time, the system can pre-charge the brakes and, if necessary, apply them automatically to help reduce the severity of, or potentially prevent, a frontal collision. This is a divergent phase, where creativity, brainstorming, and "what if" scenarios are encouraged. It typically begins with a need. A foundational concept in this field comes from data visualization pioneer Edward Tufte, who introduced the idea of the "data-ink ratio".71 This principle posits that a large share of the ink on a graphic should be dedicated to presenting the data itself, and any ink that does not convey data-specific information should be minimized or eliminated.71 Tufte coined the term "chart junk" to describe the extraneous visual elements that clutter a chart and distract from its core message.74 Common examples of chart junk include unnecessary 3D effects that distort perspective, heavy or dark gridlines that compete with the data, decorative background images, and redundant labels or legends.71 The guiding philosophy is one of minimalism and efficiency: erase non-data ink and erase redundant data-ink to allow the data to speak for itself.72This design philosophy aligns perfectly with a key psychological framework known as Cognitive Load Theory (CLT). It recognized that most people do not have the spatial imagination to see how a single object will fit into their lives; they need to be shown. This is especially advantageous for small businesses and individuals with limited budgets. Knitting groups and clubs offer a sense of community and support, fostering friendships and connections that can be particularly valuable in combating loneliness and isolation. Once downloaded and installed, the app will guide you through the process of creating an account and pairing your planter. I had been trying to create something from nothing, expecting my mind to be a generator when it's actually a synthesizer. This transition has unlocked capabilities that Playfair and Nightingale could only have dreamed of. The rise of voice assistants like Alexa and Google Assistant presents a fascinating design challenge. They can walk around it, check its dimensions, and see how its color complements their walls. A professional, however, learns to decouple their sense of self-worth from their work.

Comprehensive Review

A search bar will appear, and you can type in keywords like "cleaning," "battery," or "troubleshooting" to jump directly to the relevant sections. Up until that point, my design process, if I could even call it that, was a chaotic and intuitive dance with the blank page. For showing how the composition of a whole has changed over time—for example, the market share of different music formats from vinyl to streaming—a standard stacked bar chart can work, but a streamgraph, with its flowing, organic shapes, can often tell the story in a more beautiful and compelling way. It rarely, if ever, presents the alternative vision of a good life as one that is rich in time, relationships, and meaning, but perhaps simpler in its material possessions. The template is a servant to the message, not the other way around. First and foremost, you will need to identify the exact model number of your product. The utility of a printable chart in wellness is not limited to exercise. Check that the lights, including headlights, taillights, and turn signals, are clean and operational. We understand that for some, the familiarity of a paper manual is missed, but the advantages of a digital version are numerous. This system is your gateway to navigation, entertainment, and communication. However, the early 21st century witnessed a remarkable resurgence of interest in knitting, driven by a desire for handmade, sustainable, and personalized items. It can and will fail. Every search query, every click, every abandoned cart was a piece of data, a breadcrumb of desire. If your planter is not turning on, first ensure that the power adapter is securely connected to both the planter and a functioning electrical outlet. As they gain confidence and experience, they can progress to more complex patterns and garments, exploring the vast array of textures, colors, and designs that knitting offers. My toolbox was growing, and with it, my ability to tell more nuanced and sophisticated stories with data. Situated between these gauges is the Advanced Drive-Assist Display, a high-resolution color screen that serves as your central information hub. Many products today are designed with a limited lifespan, built to fail after a certain period of time to encourage the consumer to purchase the latest model. The vehicle's overall length is 4,500 millimeters, its width is 1,850 millimeters, and its height is 1,650 millimeters. A thin, black band then shows the catastrophic retreat, its width dwindling to almost nothing as it crosses the same path in reverse.

Crochet Face Cloth Pattern Free
Crochet Face Cloth Pattern Free
Salary For Executive Director
Salary For Executive Director
Lump Of Earth Crossword Clue 4 Letters
Lump Of Earth Crossword Clue 4 Letters
2017 Ohio State Football Schedule Printable
2017 Ohio State Football Schedule Printable
Parabola In Vertex Form
Parabola In Vertex Form
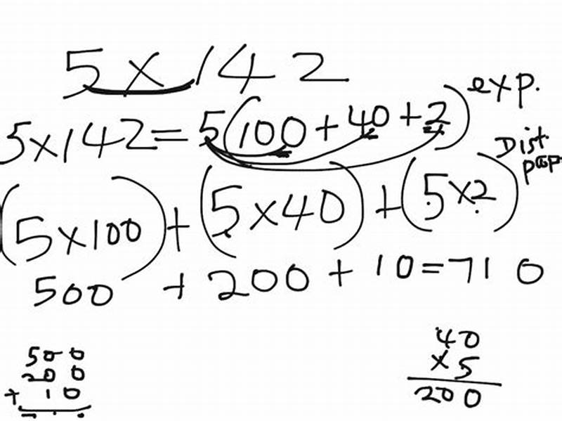
Multiply Using Expanded Form Lesson 4.4
Multiply Using Expanded Form Lesson 4.4

Conclusion

Frustrated by the dense and inscrutable tables of data that were the standard of his time, Playfair pioneered the visual forms that now dominate data representation. Make sure there are no loose objects on the floor that could interfere with the operation of the pedals. To understand the transition, we must examine an ephemeral and now almost alien artifact: a digital sample, a screenshot of a product page from an e-commerce website circa 1999. From the earliest cave paintings to the intricate sketches of Renaissance masters, drawing has been a means of expression, communication, and exploration of the human imagination. The printable provides a focused, single-tasking environment, free from the pop-up notifications and endless temptations of a digital device. This impulse is one of the oldest and most essential functions of human intellect. A true cost catalog would have to list these environmental impacts alongside the price. Begin with the driver's seat. It reveals a nation in the midst of a dramatic transition, a world where a farmer could, for the first time, purchase the same manufactured goods as a city dweller, a world where the boundaries of the local community were being radically expanded by a book that arrived in the mail. The history of the template is the history of the search for a balance between efficiency, consistency, and creativity in the face of mass communication. Small business owners, non-profit managers, teachers, and students can now create social media graphics, presentations, and brochures that are well-designed and visually coherent, simply by choosing a template and replacing the placeholder content with their own. The time constraint forces you to be decisive and efficient. Creating a printable business is an attractive prospect for many. The object itself is often beautiful, printed on thick, matte paper with a tactile quality. That catalog sample was not, for us, a list of things for sale.

If anyone can create a decent-looking layout with a template, what is our value? Many resources offer free or royalty-free images that can be used for both personal and commercial purposes. Conversely, bold and dynamic patterns can energize and invigorate, making them ideal for environments meant to inspire creativity and activity. The t-shirt design looked like it belonged to a heavy metal band. The main spindle is driven by a 30-kilowatt, liquid-cooled vector drive motor, providing a variable speed range from 50 to 3,500 revolutions per minute. The democratization of design through online tools means that anyone, regardless of their artistic skill, can create a professional-quality, psychologically potent printable chart tailored perfectly to their needs.59The Analog Advantage: Why Paper Still MattersIn an era dominated by digital apps and cloud-based solutions, the choice to use a paper-based, printable chart is a deliberate one. Furthermore, it must account for the fact that a "cup" is not a standard unit of mass; a cup of lead shot weighs far more than a cup of feathers. In the event of an emergency, being prepared and knowing what to do can make a significant difference. You can control the audio system, make hands-free calls, and access various vehicle settings through this intuitive display. They wanted to understand its scale, so photos started including common objects or models for comparison.

Related Topics