What Is The Tax Form Called

What Is The Tax Form Called

What Is The Tax Form Called. A personal value chart is an introspective tool, a self-created map of one’s own moral and ethical landscape. Her charts were not just informative; they were persuasive. Driving your Ford Voyager is a straightforward and rewarding experience, thanks to its responsive powertrain and intelligent systems. It depletes our finite reserves of willpower and mental energy. We can scan across a row to see how one product fares across all criteria, or scan down a column to see how all products stack up on a single, critical feature. One person had put it in a box, another had tilted it, another had filled it with a photographic texture. This device, while designed for safety and ease of use, is an electrical appliance that requires careful handling to prevent any potential for injury or damage. A study schedule chart is a powerful tool for taming the academic calendar and reducing the anxiety that comes with looming deadlines.47 Creating an effective study chart involves more than just listing subjects; it requires a strategic approach to time management. These works often address social and political issues, using the familiar medium of yarn to provoke thought and conversation. A hobbyist can download a 3D printable file for a broken part on an appliance and print a replacement at home, challenging traditional models of manufacturing and repair. The utility of a printable chart in wellness is not limited to exercise. The spindle motor itself does not need to be removed for this procedure. But this infinite expansion has come at a cost. The core concept remains the same: a digital file delivered instantly. And the recommendation engine, which determines the order of those rows and the specific titles that appear within them, is the all-powerful algorithmic store manager, personalizing the entire experience for each user.

Comprehensive Review

Are we willing to pay a higher price to ensure that the person who made our product was treated with dignity and fairness? A single smartphone is a node in a global network that touches upon geology, chemistry, engineering, economics, politics, sociology, and environmental science. This sample is about exclusivity, about taste-making, and about the complete blurring of the lines between commerce and content. Insert a thin plastic prying tool into this gap and carefully slide it along the seam between the screen assembly and the rear casing. In these future scenarios, the very idea of a static "sample," a fixed page or a captured screenshot, begins to dissolve. If you were to calculate the standard summary statistics for each of the four sets—the mean of X, the mean of Y, the variance, the correlation coefficient, the linear regression line—you would find that they are all virtually identical. It is the universal human impulse to impose order on chaos, to give form to intention, and to bridge the vast chasm between a thought and a tangible reality. While digital planners offer undeniable benefits like accessibility from any device, automated reminders, and easy sharing capabilities, they also come with significant drawbacks.61 The biggest con of digital productivity tools is the constant potential for distraction. It rarely, if ever, presents the alternative vision of a good life as one that is rich in time, relationships, and meaning, but perhaps simpler in its material possessions. The free printable is a quiet revolution on paper, a simple file that, once printed, becomes a personalized tool, a piece of art, a child's lesson, or a plan for a better week, embodying the very best of the internet's promise to share knowledge and creativity with the entire world. Intrinsic load is the inherent difficulty of the information itself; a chart cannot change the complexity of the data, but it can present it in a digestible way.79Extraneous load is the unproductive mental effort wasted on deciphering a poor design; this is where chart junk becomes a major problem, as a cluttered and confusing chart imposes a high extraneous load on the viewer.76 The primary goal of good chart design is to minimize this extraneous load. This collaborative spirit extends to the whole history of design. They were an argument rendered in color and shape, and they succeeded. It is the beauty of pure function, of absolute clarity, of a system so well-organized that it allows an expert user to locate one specific item out of a million possibilities with astonishing speed and confidence. It was a tool, I thought, for people who weren't "real" designers, a crutch for the uninspired, a way to produce something that looked vaguely professional without possessing any actual skill or vision. You should also check the engine coolant level in the reservoir located in the engine bay; it should be between the 'MIN' and 'MAX' lines when the engine is cool. The enduring power of this simple yet profound tool lies in its ability to translate abstract data and complex objectives into a clear, actionable, and visually intuitive format. The chart is a quiet and ubiquitous object, so deeply woven into the fabric of our modern lives that it has become almost invisible. Join our online community to share your growing successes, ask questions, and connect with other Aura gardeners. "I need a gift for my father.

Alfreda Frances Bikowsky Net Worth
Alfreda Frances Bikowsky Net Worth
Golden Week China 2026 Holiday Calendar
Golden Week China 2026 Holiday Calendar
Black To Poets Crossword Clue
Black To Poets Crossword Clue
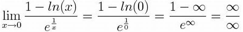
Is Infinity Over Infinity An Indeterminate Form
Is Infinity Over Infinity An Indeterminate Form
Free Printable Coloring Pages Of Spring
Free Printable Coloring Pages Of Spring
Martin Bobb-semple Net Worth
Martin Bobb-semple Net Worth

Conclusion

The template, by contrast, felt like an admission of failure. The 20th century introduced intermediate technologies like the mimeograph and the photocopier, but the fundamental principle remained the same. It takes the subjective, the implicit, and the complex, and it renders them in a structured, visible, and analyzable form. The globalized supply chains that deliver us affordable goods are often predicated on vast inequalities in labor markets. If you see your exact model number appear, you can click on it to proceed directly. A well-designed chart leverages these attributes to allow the viewer to see trends, patterns, and outliers that would be completely invisible in a spreadsheet full of numbers. For example, an employee at a company that truly prioritizes "Customer-Centricity" would feel empowered to bend a rule or go the extra mile to solve a customer's problem, knowing their actions are supported by the organization's core tenets. The object itself is unremarkable, almost disposable. The real cost catalog, in the end, is not a document that a company can provide for us. The "disadvantages" of a paper chart are often its greatest features in disguise. The most creative and productive I have ever been was for a project in my second year where the brief was, on the surface, absurdly restrictive. The rise of broadband internet allowed for high-resolution photography, which became the new standard. In these instances, the aesthetic qualities—the form—are not decorative additions. Not glamorous, unattainable models, but relatable, slightly awkward, happy-looking families. Lift the plate off vertically to avoid damaging the internal components.

Smooth paper is suitable for fine details, while rougher paper holds more graphite and is better for shading. It had to be invented. The images were small, pixelated squares that took an eternity to load, line by agonizing line. The ubiquitous chore chart is a classic example, serving as a foundational tool for teaching children vital life skills such as responsibility, accountability, and the importance of teamwork.51 A visual chore chart clarifies expectations for each family member, eliminates ambiguity about who is supposed to do what, and can be linked to an allowance or reward system, transforming mundane tasks into an engaging and motivating activity.1 Beyond chores, a centralized family schedule chart can bring order to the often-chaotic logistics of modern family life.53 By providing a single, visible location to track appointments, school events, extracurricular activities, and other commitments for every member of the household, this type of chart dramatically improves communication, reduces scheduling conflicts, and lowers the overall stress level of managing a busy family.54 In this context, the printable chart is not just an organizational tool but a communication hub that fosters harmony and shared responsibility.In the professional world, the printable chart evolves into a sophisticated instrument for visualizing strategy, managing complex projects, and driving success. It is imperative that this manual be read in its entirety and fully understood before any service or repair action is undertaken. Please keep this manual in your vehicle so you can refer to it whenever you need information. But as the sheer volume of products exploded, a new and far more powerful tool came to dominate the experience: the search bar. Data, after all, is not just a collection of abstract numbers. The profit margins on digital products are extremely high. Furthermore, the relentless global catalog of mass-produced goods can have a significant cultural cost, contributing to the erosion of local crafts, traditions, and aesthetic diversity.

Related Topics